Nuke Olaf - Log Store
도함수와 미분법 - 미분 공식 정리 본문
1. 접선과 도함수

① $f^{\prime}(a)$ : $x=a$ 에서의 미분 계수
: $x=a$ 에서의 순간 변화율
: $(a,f(a))$ 에서의 접선의 기울기
② 우변의 극한이 존재 $\Leftrightarrow$ $f(x)$ : $x=a$ 에서 미분 가능
미분 가능성
$f(x)$ : $x=a$ 에서 미분 가능 $\Rightarrow$ $f(x)$ : $x=a$ 에서 연속
그러나, 역은 성립하지 않는다.
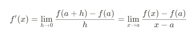
도함수를 구한다 = 미분한다
$$f^{\prime}(x)=\lim_{h\to0}\frac{f(a+h)-f(a)}{h}\Rightarrow f^{\prime}(x)=\lim_{h\to0}\frac{f(x+h)-f(x)}{h}$$
-> $y=f(x)$ 의 도함수
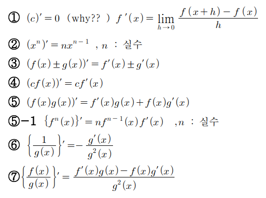
2. 미분법

삼각함수의 도함수
① $(\sin x)^{\prime}=\cos x$
② $(\cos x)^{\prime}=-\sin x$
③ $(\tan x)^{\prime}=\sec^{2} x$
④ $(\sec x)^{\prime}=\sec x\tan x$
⑤ $(\cot x)^{\prime}=-\csc^{2}x$
⑥ $(\csc x)^{\prime}=-\csc x\cot x$
지수함수의 도함수
$$(e^{x})^{\prime} =\lim_{h \to 0}\frac{f(x+h)-f(x)}{h}\\ =\lim_{h \to 0}\frac{e^{x+h}-e^{x}}{h}\\ =\lim_{h \to 0}\frac{e^{x}(e^{h}-1)}{h}=e^{x}$$
지수함수의 도함수는 자기 자신이다 = 지수함수의 미분은 자기 자신이다
쌍곡선함수의 도함수
$(\cosh x)^{\prime}=\sinh x$
$(\sinh x)^{\prime}=\cosh x$
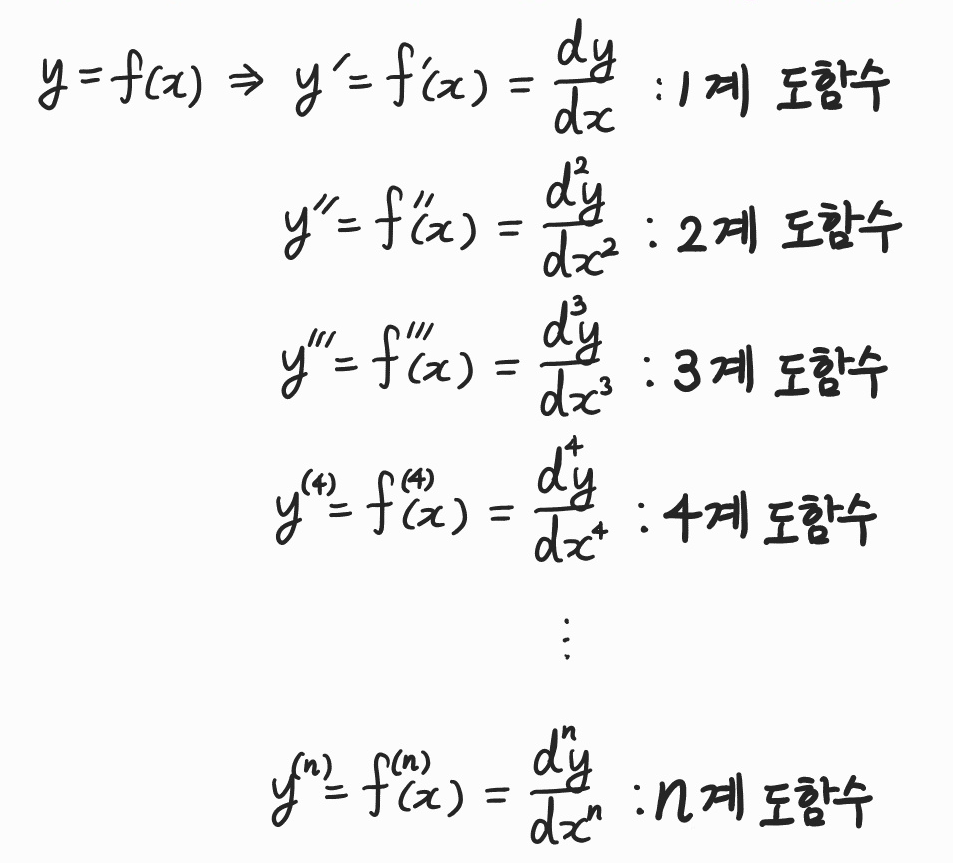
고계 도함수

3계 도함수까지는 프라임 기호(\prime)를 붙이지만,
4계부터는 지수 자리의 괄호 안에 미분의 횟수를 적는다.
$$y^{(n)}=f^{(n)}(x)$$
*** $\dfrac{\mathrm{d}y}{\mathrm{d}x}$ 연산자 사용하여 고계도함수 표현하기 ***
$$f^{\prime \prime}(x)=f^{(2)}(x)=\dfrac{\mathrm{d}(y)^{\prime}}{\mathrm{d}x}=\dfrac{\mathrm{d}}{\mathrm{d}x}(\dfrac{\mathrm{d}y}{\mathrm{d}x})=\dfrac{\mathrm{d}^{2}y}{\mathrm{d}x^{2}}$$
'Mathematics' 카테고리의 다른 글
| 연쇄율과 음함수 미분 (0) | 2020.10.14 |
|---|---|
| 역삼각함수 정리 - 아크사인, 아크코사인, 아크탄젠트 (0) | 2020.09.09 |
| 함수와 그래프 (0) | 2020.05.10 |